毛燕萍楷书条幅《郁伟年〈秋意七塔〉》捐赠仪式暨“秋意七塔”朗诵活动圆满落幕
2022年11月20日上午10点,毛燕萍楷书条幅《郁伟年〈秋意七塔〉》捐赠仪式暨“秋意七塔”朗诵活动在七塔禅寺禅学堂二楼教室举行。省书法家协会教育委员会副主任、宁波书画院副院长、宁波诗社社长毛燕萍女士,宁波市鄞州区文联副主席杨慧月女士,宁波市鄞州区朗诵家协会主席王凤阁女士,宁波市佛教协会常务理事沙力先生,宁波市佛教协会常务理事朱京波先生,海曙区文保所文博专家李文国先生及主办方代表省佛教协会副会长、七塔禅寺住持、浙东佛教文化研究院院长可祥法师,七塔禅寺监院界义法师、定光法师、常明法师莅临活动现场;受疫情防控影响,省文联副主席、宁波市政协原副主席、宁波市文联原主席郁伟年先生无法抵达现场,于线上参与活动。
活动由定光法师主持,他简要介绍活动背景及活动流程之后,郁伟年先生率先介绍了现代长诗《秋意七塔》的创作缘起。郁伟年先生漫步于晚秋时节的七塔寺时,被古建筑的庄严肃穆及银杏、桂树、荷花与锦鲤等灵动的景致所打动,有感于这座都市寺院与宁波古城千年来命运的交织,兴会神到,将其感触付诸笔端,提笔而就,作成《秋意七塔》这首佳诗。郁伟年先生对待作品认真仔细,字斟句酌,在介绍时他提及《秋意七塔》经过反复修改后,才最终定稿。
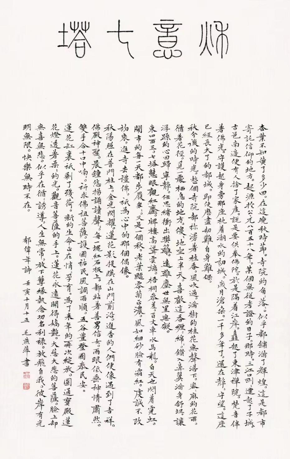
楷书条幅《郁伟年〈秋意七塔〉》的作者毛燕萍女士也随之回顾了自己的创作历程。10月30号,毛燕萍女士接到郁伟年先生邀请,为他的长诗《秋意七塔》创作书法作品,之后,她便开始在脑海中构思这幅作品如何用最好的方式呈现。最终,她采纳了可祥法师的建议,将作品以楷书条幅的形式呈现,并借鉴碑额的形式用小篆写上题额。
《秋意七塔》全诗共六百一十七个字,分为五个自然段,毛燕萍女士为诗句添上句读,以便观众阅读。11月8日(农历十月十五)晚恰逢千年难得一遇的月全食,值此殊胜之日,毛燕萍女士决心起笔创作楷书条幅《郁伟年〈秋意七塔〉》。完成后的作品令人叹为观止:小篆题额劲健有力、线条圆润;小楷正文精致典雅、遒劲妍丽。最后,毛燕萍女士对七塔禅寺为此次捐赠仪式精心布置会场,并邀请甬城朗诵名家前来朗诵诗歌表达了衷心的感谢。
随后,王凤阁女士在舒缓、悠扬的伴奏声中,极富感情地朗诵了郁伟年先生的《秋意七塔》。在朗诵声中,众人仿若立于诗歌中铺满一地的黄叶之上,被诗歌中的秋阳所照,温暖而惬意。
朗诵结束后,毛燕萍女士向七塔禅寺赠送毛燕萍楷书条幅《郁伟年〈秋意七塔〉》,可祥法师、界义法师代表七塔禅寺接受捐赠。

从左至右分别为:杨慧月女士、毛燕萍女士、可祥法师、界义法师

毛燕萍楷书条幅《郁伟年〈秋意七塔〉》
随后,可祥法师代表七塔禅寺致答谢词。他首先对参与活动的诸位文化界名家表示了欢迎和感谢,尤其感谢了郁伟年主席的诗作、毛燕萍女士的书法作品及王凤阁女士的优美朗诵,表示他们为在场的诸位提供了“美的享受”:诗美、书法美、朗诵声美。
作为《秋意七塔》的第一位读者,可祥法师对诗歌进行了独到的点评,他指出现代诗与格律诗的区别,《秋意七塔》采取了新诗的形式,更为灵活生动地呈现了七塔寺的银杏叶、桂花雨、荷花与锦鲤等美丽景致,诗歌中“国泰民安”的祝愿也蕴含着对社会大众的关怀。全诗巧妙地点出七塔寺这座千年古刹与宁波这座文化古城“一体不二”的关系,可祥法师表示,“城中之寺,寺在城中,寺院命运与城市命运一体不二;城市中的居民和城市也是一体不二的,城市记录我们,我们也记录着城市。”点评时,可祥法师还提到王阳明心学对佛学思想“心外无佛,即心是佛”的化用,指出“心、佛、众生三无差别”。
最后,参与活动的嘉宾分别在线上和线下合影留念,此次毛燕萍楷书条幅《郁伟年〈秋意七塔〉》捐赠仪式暨“秋意七塔”朗诵活动圆满落幕。

线下合影留念

社交平台

